中国·ok138cn太阳集团(古天乐代言)官方网站-Official Website
官网首页
走进ok138cn太阳集团古天乐
≡
董事长致辞
集团简介
古天乐代言太阳集团
ok138cn太阳集团古天乐文化
集团荣誉
集团成员
员工风采
新闻公告
≡
集团动态
集团刊物
产品中心
≡
医药产业
动保产业
科技创新
≡
科研平台
技术协作
科研成果
可持续发展
≡
绿色发展
集团投资
社会责任
≡
慈善公益
安全生产
投资者关系
≡
临时公告
定期报告
投资者互动
加入ok138cn太阳集团古天乐
≡
人才理念
薪酬福利
招聘信息
联系我们
ok138cn太阳集团古天乐供应商门户
English
走进ok138cn太阳集团古天乐
董事长致辞
集团简介
古天乐代言太阳集团
ok138cn太阳集团古天乐文化
集团荣誉
集团成员
员工风采
新闻公告
集团动态
集团刊物
产品中心
医药产业
动保产业
科技创新
科研平台
技术协作
科研成果
可持续发展
绿色发展
集团投资
社会责任
慈善公益
安全生产
投资者关系
临时公告
定期报告
投资者互动
加入ok138cn太阳集团古天乐
人才理念
薪酬福利
招聘信息
联系我们
ok138cn太阳集团古天乐供应商门户
EN
当前位置:产品中心
guobang
产品中心
立人立国 兴业兴邦
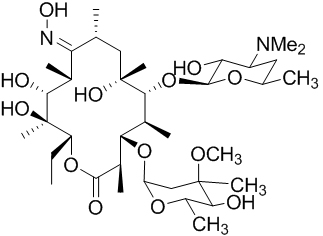
红霉素A(E)肟
中文名称:红霉素A(E)肟
英文名称:erythromycin A oxime
CAS No.:111321-02-9
分子式:C
37
H
68
N
2
O
13
包装规格:根据需求定制
【
返回主目录
】
关联产品
名称
查看详细
硼氢化钠
查看详细
硼氢化钾
查看详细
氢化钠
查看详细
环丙胺
查看详细
N-甲基哌嗪
查看详细
N-乙基哌嗪
查看详细
硼酸三甲酯
查看详细
四氢吡咯
查看详细
二氢高红霉素
查看详细
加米胺
查看详细
环丙羧酸
查看详细
11条记录 第1页
跳转至
页